16
Optimization
Duality
Theory
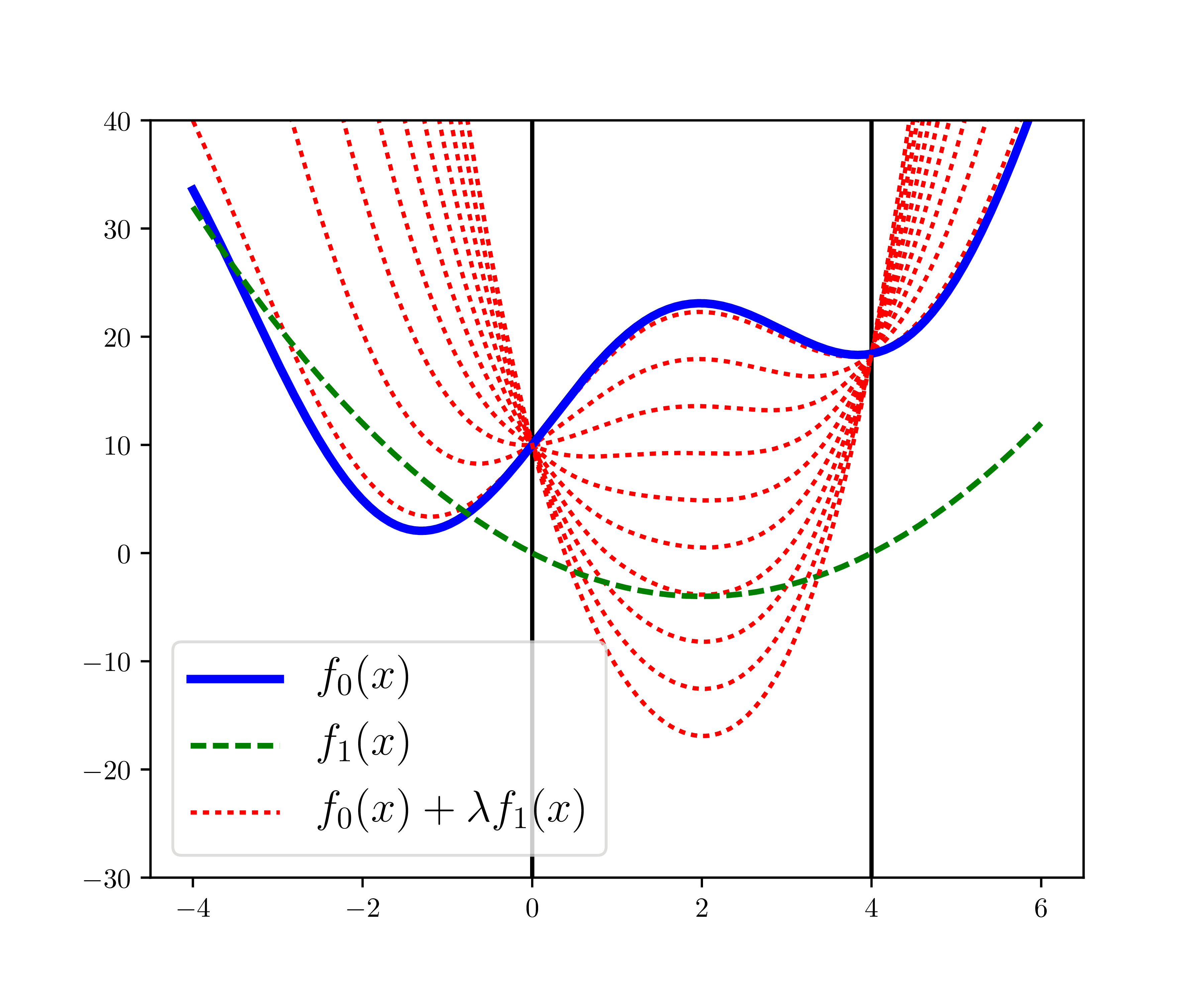
Duality is a powerful concept in optimization. Every optimization problem (primal) has an associated dual problem. For convex problems, solving either gives the same optimal value. SVMs are solved via their dual formulation, enabling the kernel trick.
Visualization

Mathematical Formulation
Lagrangian: L(x, λ, ν) = f(x) + Σλᵢgᵢ(x) + Σνⱼhⱼ(x) Dual Function: g(λ, ν) = infₓ L(x, λ, ν) Key Results: • Weak Duality: d* ≤ p* • Strong Duality: d* = p* (for convex) • KKT Conditions: Necessary & sufficient for optimality
Code Example
import numpy as np
from scipy.optimize import minimize
# Example: Linear Program and its Dual
# Primal: min c^T x s.t. Ax <= b, x >= 0
# Dual: max b^T λ s.t. A^T λ <= c, λ >= 0
c = np.array([1, 2])
A = np.array([[1, 1], [2, 1]])
b = np.array([4, 5])
# Solve primal
def primal_obj(x):
return c @ x
def primal_cons(x):
return b - A @ x
primal_result = minimize(
primal_obj, x0=[0, 0],
bounds=[(0, None), (0, None)],
constraints={'type': 'ineq', 'fun': primal_cons}
)
# Solve dual
def dual_obj(lam):
return -(b @ lam)
def dual_cons(lam):
return c - A.T @ lam
dual_result = minimize(
dual_obj, x0=[0, 0],
bounds=[(0, None), (0, None)],
constraints={'type': 'ineq', 'fun': dual_cons}
)
print(f"Primal optimal: {primal_result.fun:.4f}")
print(f"Dual optimal: {-dual_result.fun:.4f}")
print(f"Duality gap: {abs(primal_result.fun + dual_result.fun):.6f}")